Tugas 7 blog mata kuliah aljabar linear

 Nama                   : Alfian Riswandi

NIM                     : 202231005

Kelas                    : A

Fakultas               : Telematika Energi

Program Studi    : S1 Teknik Informatika

Mata Kuliah        : Aljabar Linear

NILAI EGIEN DAN VEKTOR EIGEN

Andaikan A marik bujur sangkar berordo nxn, vektor taknol x di dalam Rn dikatakan vektor eigen A, jika tedapat skalar taknol l sedemikian rupa sehingga,

Ax = lx

l disebut dengan nilai eigen dari A dan x disebut vektor eigen dari A yang bersesuaian dengan l.

Contoh :

Vektor x = [1,2] adalah vektor eigen dari :

 

yang bersesuaian dengan nilai eigen, l = 3, karena : 

Teknik Menghitung Nilai Eigen

Untuk menghitung nilai eigen matrik A yang berordo n x n tulislah Ax =  lx sebagai 

Ax = l|x

(l| - A)X = 0

Agar supaya  menjadi nilai eigen, maka penyelesaian system persamaan linear diatas non trivial, dimana syaratnya adalah:

ln + C1ln-1 + … + Cn - 1l + Cn = 0

Teknik Menghitung Nilai Eigen (2)

Persamaan terakhir adalah polinomial l berderajad n yang disebut dengan persamaan karakteristik A, sedangkan nilai eigen matrik A adalah akar-akar persamaan karakteristik A (akar-akar polinomial dalam l).

Langkah – Langkah menentukan nilai eigen dan vector eigen matrik A adalah :

1. Bentuk matrik (l| - A)

2. Hitung determinan, det(l| - A) = 0

3. Tentukan persamaan karakteristik dari , (l| - A) = 0

4. Hitung akar-akar persamaan karakteristik (nilai lamda)

5. Hitung vector eigen dari SPL, (l| - A) x = 0

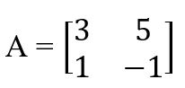
Contoh

Carilah nilai eigen dan vector eigen dari,


Jawab

Bentuk, l| - A yaitu :

Persamaan karakteristiknya adalah :

det(l| - A) = l2 - 2l - 8 = 0

Akar – akar persamaan karekteristiknya adalah : l1 = 4, dan l2 = -2, dan inilah nilai eigen matrik A.

Vektor eigen x dari A diperoleh dari :

Untuk l = 4, diperoleh SPL

Solusi SPL diatas adalah :

jadi vector eigen untuk l = 4, adalah x = [5,1]. Sedangkan vector eigen yang bersesuaian dengan l = -2 adalah, x = [1,1].

Contoh

Carilah nilai eigen dan vector eigen dari,



 
Jawab

Bentuk, l| - A yaitu:

Persamaan karakteristiknya adalah :

det(l| - A) = l3 - 6l2 + 11l - 6 = 0

Akar – akar persamaan karakteristiknya adalah : l1 = 1, l2 = 2, dan l3 = 3

Vektor eigen x dari A diperoleh dari :

Untuk l = 1, diperoleh SPL

Solusi SPL diatas adalah :


Jadi vector eigen yang bersesuaian dengan : 


























Komentar

Postingan populer dari blog ini

Tugas 5 blog mata kuliah aljabar linear

Sejarah & Perkembangan Prosesor AMD