Tugas 9 blog mata kuliah aljabar linear

 Nama                   : Alfian Riswandi

NIM                     : 202231005

Kelas                   : A

Fakultas              : Telematika Energi

Program Studi    : S1 Teknik Informatika

Mata Kuliah       : Aljabar Linear

BASIS DAN DIMENSI

Ruang -N Euclides

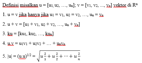
Jika n sebuah bilangan bulat positif, maka n-pasangan bilangan berturut adalah sebuah urutan n bilangan real ( x1, x2, ..., xn). Himpunan semua n pasangan bilangan berurutan dinamakan ruang n Eucides dan dinyatakan dengan Rn.

RUANG VEKTOR

Misalkan V sembarang himpunan. V dikatakan sebagai ruang vektor bilamana aksioma-aksioma berikut dipenuhi :

1. Jika u dan v vektor-vektor di V, maka u + v juga berada di V

2. u + v = v +u

3. u + (v + w) = (u + v) + w

4. Ada sebuah vektor 0 di V sehingga 0 + u = u + 0

5. Untuk setiap u di V terdapat -u di V sehingga u + (-u) = -u + u = 0

6. Jika k scalar dan u di V, maka ku berada di V

7. k(u + v) = ku + kv

. (k + I) u = ku + Iu

9. k(u) = (kI) u

10. 1u = u


CONTOH SOAL

Aksioma 2

Akan ditunjukan u + v = v + u. Perhatikan bahwa

u + v = (u1, u2) + (v1, v2) = (u1 + v1, u2 + v2)

Karena u1, v1memenuhi sifat komutatif penjumlahan, maka u1 + v1 = v1 + u1. Dengan argumen yang serupa, dapa
t diperoleh u2 + v2 = v2 + u2.

Akibatnya:

u + v = (v1 + u1, v2 + u2)

         = (v1, v2) + (u1, u2)

         = v + u

Jadi, aksioma 2 terpenuhi

Aksioma 8

Aksioma akan ditunjukan (k + m) u = ku + mu. Perhatikan bahwa

(k + m) u = [k + m] (u1, u2)

                = ([k + m] u1, [k + m] u2)

                = (ku1 + mu1, ku2 + mu2)

                = (ku1, ku2) + (mu1, mu2)

                = k (u1, u2) + m (u1, u2)

                = ku +mu

Jadi, aksioma 8 terpenuhi

 Aksioma 9

Akan ditujukkan k (mu) = (km) u. Perhatikan bahwa

 k (mu) = k [m (u1, u2)]

            = k (mu1, mu2)

            = (k [ mu1], k [mu2])

            = ([km] u1, [km] u2)

            = [km] (u1, u2)

            = (km) u

Jadi, aksioma 9 terpenuhi



Aksioma 10

Akan ditunjukkan 1u = u. Perhatikan bahwa

1u = 1(u1, u2) = (1.u1, 1.u2) = (u1, u2) = u

Jadi, aksioma 10 terpenuhi. Dengan demikian, V adalah ruang vektor real.

Perhatikan bahwa u + v = (0,0,1) + (0,0,0) = (0,0,2), tetapi v + u = (0,0,0) + (0,0,1) = (0,0,1)

SUB – RUANG VEKTOR

Diketahui V ruang dan U subhimpunan V. U dikatakan sub-ruang dari V jika memenuhi dua syarat berikut :










Komentar

Postingan populer dari blog ini

Tugas 5 blog mata kuliah aljabar linear

Sejarah & Perkembangan Prosesor AMD